Free NCERT Solutions for Class 12 Maths Chapter 4 Determinants solved by Expert Teachers as per NCERT (CBSE) Book guidelines and brought to you by CBSE Learning. These Determinants Exercise Questions with Solutions for Class 12 Maths covers all questions of Chapter Determinants Class 12 and help you to revise complete Syllabus and Score More marks as per CBSE Board guidelines from the latest NCERT book for class 12 maths. You can read and download NCERT Book Solution to get a better understanding of all topics and concepts
4.1 Introduction
4.2 Determinant
4.2.1 Determinant of a matrix of order one
4.2.2 Determinant of a matrix of order two
4.2.3 Determinant of a matrix of order 3 × 3
4.3 Properties of Determinants
4.4 Area of a Triangle
4.5 Minors and Cofactors
4.6 Adjoint and Inverse of a Matrix
4.6.1 Adjoint of a matrix
4.7 Applications of Determinants and Matrices
4.7.1 Solution of system of linear equations using inverse of a matrix.
Determinants NCERT Solutions – Class 12 Maths
Exercise 4.1 : Solutions of Questions on Page Number : 108
Q1 :Evaluate the determinants in Exercises 1 and 2.
![]()
Answer:
= 2( – 1) – 4( – 5) = – 2 + 20 = 18
Q2 : Evaluate the determinants in Exercises 1 and 2.
(i)
(ii)
Answer :
(i)
= (cos θ)(cos θ) – ( – sin θ)(sin θ)=cos2 θ+ sin2 θ = 1
(ii)
= (x2 – x + 1)(x + 1) – (x – 1)(x + 1)
= x3 – x2 + x + x2 – x + 1 – (x2 – 1)
= x3 + 1 – x2 + 1
= x3 – x2 + 2
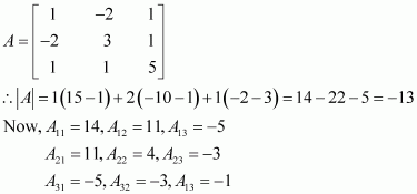
Q3 :If
, then show that![]()
Answer :
The given matrix is
.

Q4 :If
, then show that![]()
Answer :
The given matrix is.
It can be observed that in the first column, two entries are zero. Thus, we expand along the first column (C1) for easier calculation.
![]()

From equations (i) and (ii), we have:
![]()
Hence, the given result is proved.
Q5 :Evaluate the determinants
(i)
(iii)
(ii)
(iv)
Answer :
(i) Let.
It can be observed that in the second row, two entries are zero. Thus, we expand along the second row for easier calculation.
![]()
(ii) Let.
By expanding along the first row, we have:

(iii) Let

By expanding along the first row, we have:

(iv) Let
By expanding along the first column, we have:

Q6 :Find values of x, if
(i)
(ii)![]()
Answer :
(i)![]()

(ii)![]()

Q7 :If
, then x is equal to
(A) 6 (B) ±6 (C) – 6 (D) 0
Answer :
Answer: B
![]()

Hence, the correct answer is B.
Exercise 4.2 : Solutions of Questions on Page Number : 119
Q1 :Using the property of determinants and without expanding, prove that:
Answer :

Q2 :Using the property of determinants and without expanding, prove that:

Answer :

Here, the two rows R1 and R3 are identical.
Δ = 0.
Q3 : Using the property of determinants and without expanding, prove that:
Answer :

Q4 : Using the property of determinants and without expanding, prove that:

Answer :

By applying C3 → C3 + C2, we have:

Here, two columns C1 and C3 are proportional.
Δ = 0.
Q5 : Using the property of determinants and without expanding, prove that:

Answer :

Applying R2 → R2 – R3, we have:

Applying R1 ↔R3 and R2 ↔R3, we have:


Applying R1 → R1 – R3, we have:

Applying R1 ↔R2 and R2 ↔R3, we have:

From (1), (2), and (3), we have:

Hence, the given result is proved.
Q6 : By using properties of determinants, show that:

Answer :
We have,


Here, the two rows R1 and R3 are identical.
∴Δ = 0.
Q7 : By using properties of determinants, show that:

Answer :

Applying R2→ R2 + R1 and R3→ R3 + R1, we have:

Q8 : By using properties of determinants, show that:
(i)
(ii)

Answer :

(i)Applying R1→ R1 – R3 and R2 → R2 – R3, we have:

Applying R1 → R1 + R2, we have:

Expanding along C1, we have:
![]()
Hence, the given result is proved.
(ii) Let.

Applying C1→ C1 – C3 and C2→ C2 – C3, we have:

Applying C1 → C1 + C2, we have:

Expanding along C1, we have:

Hence, the given result is proved.
Q9 : By using properties of determinants, show that:

Answer :

Applying R2 → R2 – R1 and R3→ R3 – R1, we have:

Applying R3 → R3 + R2, we have:

Expanding along R3, we have:

Hence, the given result is proved
Q10 : By using properties of determinants, show that:
(i)
(ii)
Answer :
(i)
Applying R1 → R1 + R2 + R3, we have:

Applying C2 → C2 – C1, C3 → C3 – C1, we have:

Expanding along C3, we have:

Hence, the given result is proved.
(ii)
Applying R1→ R1 + R2 + R3, we have:

Applying C2 → C2 – C1 and C3 → C3 – C1, we have:

Expanding along C3, we have:
![]()
Hence, the given result is proved.
Q11 : By using properties of determinants, show that:
(i)
(ii)
Answer :
(i)
Applying R1→ R1 + R2 + R3, we have:
Applying C2→ C2 – C1, C3 → C3 – C1, we have:

Expanding along C3, we have:
![]()
Hence, the given result is proved.
(ii)
Applying C1 → C1 + C2 + C3, we have:

Applying R2 →R2 – R1 and R3 R3 – R1, we have:

Expanding along R3, we have:
![]()
Hence, the given result is proved.
Q12 : By using properties of determinants, show that:

Answer :
Applying R1→ R1 + R2 + R3, we have:

Applying C2→ C2 – C1 and C3 → C3 – C1, we have:

Expanding along R1, we have:

Hence, the given result is proved.
Q13 : By using properties of determinants, show that:

Answer :

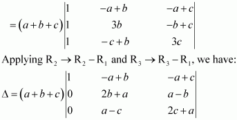
Applying R1→ R1 + bR3 and R2→ R2 – aR3, we have:

Expanding along R1, we have:

Q14 : By using properties of determinants, show that:

Answer :

Taking out common factors a, b, and c from R1, R2, and R3 respectively, we have:

Applying R2 → R2 – R1 and R3 → R3 – R1, we have:

Applying C1 → aC1, C2 → bC2, and C3 → cC3, we have:

Expanding along R3, we have:

Hence, the given result is proved.
Q15 :Choose the correct answer.
Let A be a square matrix of order 3 × 3, then
is equal to
A.
B.
C.
D.![]()
Answer :
Answer: C
A is a square matrix of order 3 × 3.

Hence, the correct answer is C.
Q16 :Which of the following is correct?
A. Determinant is a square matrix.
B. Determinant is a number associated to a matrix.
C. Determinant is a number associated to a square matrix.
D. None of these
Answer :
Answer: C
We know that to every square matrix,
of order n. We can associate a number called the determinant of square matrix A, where
element of A.
Thus, the determinant is a number associated to a square matrix.
Hence, the correct answer is C.
Exercise 4.3 : Solutions of Questions on Page Number : 122
Q1 :Find area of the triangle with vertices at the point given in each of the following:
(i) (1, 0), (6, 0), (4, 3) (ii) (2, 7), (1, 1), (10, 8)
(iii) (-2, -3), (3, 2), (-1, -8)
Answer :
(i) The area of the triangle with vertices (1, 0), (6, 0), (4, 3) is given by the relation,

(ii) The area of the triangle with vertices (2, 7), (1, 1), (10, 8) is given by the relation,

(iii) The area of the triangle with vertices ( – 2, – 3), (3, 2), ( – 1, – 8)
is given by the relation,

Hence, the area of the triangle is
.
Q2 : Show that points
are collinear
Answer :
Area of ΔABC is given by the relation,

Thus, the area of the triangle formed by points A, B, and C is zero.
Hence, the points A, B, and C are collinear.
Q3 :Find values of k if area of triangle is 4 square units and vertices are
(i) (k, 0), (4, 0), (0, 2) (ii) (-2, 0), (0, 4), (0, k)
Answer :
We know that the area of a triangle whose vertices are (x1, y1), (x2, y2), and (x3, y3) is the absolute value of the determinant (Δ), where

It is given that the area of triangle is 4 square units.
∴Δ = ± 4.
(i) The area of the triangle with vertices (k, 0), (4, 0), (0, 2) is given by the relation,
Δ =

∴ – k + 4 = ± 4
When – k + 4 = – 4, k = 8.
When – k + 4 = 4, k = 0.
Hence, k = 0, 8.
(ii) The area of the triangle with vertices ( – 2, 0), (0, 4), (0, k) is given by the relation,
Δ =

∴k – 4 = ± 4
When k – 4 = – 4, k = 0.
When k – 4 = 4, k = 8.
Hence, k = 0, 8.
Q4 : (i) Find equation of line joining (1, 2) and (3, 6) using determinants
(ii) Find equation of line joining (3, 1) and (9, 3) using determinants
Answer :
(i) Let P (x, y) be any point on the line joining points A (1, 2) and B (3, 6). Then, the points A, B, and P are collinear. Therefore, the area of triangle ABP will be zero.

Hence, the equation of the line joining the given points is y = 2x.
(ii) Let P (x, y) be any point on the line joining points A (3, 1) and
B (9, 3). Then, the points A, B, and P are collinear. Therefore, the area of triangle ABP will be zero.

Hence, the equation of the line joining the given points is x – 3y = 0.
Q5 : If area of triangle is 35 square units with vertices (2, -6), (5, 4), and (k, 4). Then k is
A. 12 B. -2 C. -12, -2 D. 12, -2
Answer :
Answer: D
The area of the triangle with vertices (2, – 6), (5, 4), and (k, 4) is given by the relation,

It is given that the area of the triangle is ±35.
Therefore, we have:

When 5 – k = – 7, k = 5 + 7 = 12.
When 5 – k = 7, k = 5 – 7 = – 2.
Hence, k = 12, – 2.
The correct answer is D.
Exercise 4.4 : Solutions of Questions on Page Number : 126
Q1 : Write Minors and Cofactors of the elements of following determinants:
(i)
(ii)![]()
Answer :
(i) The given determinant is.![]()
Minor of element aij is Mij.
∴M11 = minor of element a11 = 3
M12 = minor of element a12 = 0
M21 = minor of element a21 = – 4
M22 = minor of element a22 = 2
Cofactor of aij is Aij = ( – 1)i + j Mij.
∴A11 = ( – 1)1+1 M11 = ( – 1)2 (3) = 3
A12 = ( – 1)1+2 M12 = ( – 1)3 (0) = 0
A21 = ( – 1)2+1 M21 = ( – 1)3 ( – 4) = 4
A22 = ( – 1)2+2 M22 = ( – 1)4 (2) = 2
(ii) The given determinant is.![]()
Minor of element aij is Mij.
∴M11 = minor of element a11 = d
M12 = minor of element a12 = b
M21 = minor of element a21 = c
M22 = minor of element a22 = a
Cofactor of aij is Aij = ( – 1)i + j Mij.
∴A11 = ( – 1)1+1 M11 = ( – 1)2 (d) = d
A12 = ( – 1)1+2 M12 = ( – 1)3 (b) = – b
A21 = ( – 1)2+1 M21 = ( – 1)3 (c) = – c
A22 = ( – 1)2+2 M22 = ( – 1)4 (a) = a
Q2 : (i)
(ii)
Answer :
(i) The given determinant is.
By the definition of minors and cofactors, we have:
M11 = minor of a11=![]()
M12 = minor of a12=![]()
M13 = minor of a13 =![]()
M21 = minor of a21 =![]()
M22 = minor of a22 =![]()
M23 = minor of a23 =![]()
M31 = minor of a31=![]()
M32 = minor of a32 =![]()
M33 = minor of a33 =![]()
A11 = cofactor of a11= ( – 1)1+1 M11 = 1
A12 = cofactor of a12 = ( – 1)1+2 M12 = 0
A13 = cofactor of a13 = ( – 1)1+3 M13 = 0
A21 = cofactor of a21 = ( – 1)2+1 M21 = 0
A22 = cofactor of a22 = ( – 1)2+2 M22 = 1
A23 = cofactor of a23 = ( – 1)2+3 M23 = 0
A31 = cofactor of a31 = ( – 1)3+1 M31 = 0
A32 = cofactor of a32 = ( – 1)3+2 M32 = 0
A33 = cofactor of a33 = ( – 1)3+3 M33 = 1
(ii) The given determinant is.
By definition of minors and cofactors, we have:
M11 = minor of a11=![]()
M12 = minor of a12=![]()
M13 = minor of a13 =![]()
M21 = minor of a21 =![]()
M22 = minor of a22 =![]()

Q3 :Using Cofactors of elements of third column, evaluate
Answer :
The given determinant is.
We have:
M13 =
M23 =
M33 =
∴A13 = cofactor of a13 = ( – 1)1+3 M13 = (z – y)
A23 = cofactor of a23 = ( – 1)2+3 M23 = – (z – x) = (x – z)
A33 = cofactor of a33 = ( – 1)3+3 M33 = (y – x)
We know that Δ is equal to the sum of the product of the elements of the second row with their corresponding cofactors.

Hence,![]()
Q4 :If
and Aij is Cofactors of aij, then value of Δ is given by
Answer :
Answer: D
We know that:
Δ = Sum of the product of the elements of a column (or a row) with their corresponding cofactors
∴Δ = a11A11 + a21A21 + a31A31
Hence, the value of Δ is given by the expression given in alternative D.
The correct answer is D.

Exercise 4.5 : Solutions of Questions on Page Number : 131
Q1:Find adjoint of each of the matrices.![]()
Answer :

Q2:Find adjoint of each of the matrices.
Answer :


Q3:Verify A (adj A) = (adj A) A = I .![]()
Answer :

Q4:Verify A (adj A) = (adj A) A = I .
Answer :


Q5:Find the inverse of each of the matrices (if it exists).![]()
Answer :

Q6:Find the inverse of each of the matrices (if it exists).![]()
Answer :

Q7:Find the inverse of each of the matrices (if it exists).
Answer :


Q8 :Find the inverse of each of the matrices (if it exists).
Answer :


Q9 :Find the inverse of each of the matrices (if it exists).
Answer :


Q10 :Find the inverse of each of the matrices (if it exists).
Answer :


Q11 :Find the inverse of each of the matrices (if it exists).
Answer :


Q12 :Let
and
. Verify that![]()
Answer :



From (1) and (2), we have:
(AB) – 1 = B – 1A – 1
Hence, the given result is proved.
Q13 :If
, show that
. Hence find
.
Answer :


Q14 :For the matrix![]()
, find the numbers a and b such that A2 + aA + bI = O.
Answer :

We have:

Comparing the corresponding elements of the two matrices, we have:

Hence, – 4 and 1 are the required values of a and b respectively.
Q15 :For the matrix
show that A3 – 6A2 + 5A + 11 I = O. Hence, find A – 1.
Answer :



From equation (1), we have:

Q16 :If
verify that A3 – 6A2 + 9A – 4I = O and hence find A – 1
Answer :




From equation (1), we have:

Q17 :Let A be a nonsingular square matrix of order 3 × 3. Then
is equal to
A.
B.
C.
D.
Answer :
Answer: B
We know that,

Hence, the correct answer is B.
Q18 :If A is an invertible matrix of order 2, then det (A – 1) is equal to
A. det (A) B.
C. 1 D. 0
Answer :
Since A is an invertible matrix,![]()

Hence, the correct answer is B.
Exercise 4.6 : Solutions of Questions on Page Number : 136
Q1 :Examine the consistency of the system of equations.
x + 2y = 2
2x + 3y = 3
Answer :
The given system of equations is:
x + 2y = 2
2x + 3y = 3
The given system of equations can be written in the form of AX = B, where
∴ A is non-singular.
Therefore, A – 1 exists.
Hence, the given system of equations is consistent.
Q2 :Examine the consistency of the system of equations.
2x – y = 5
x + y = 4
Answer :
The given system of equations is:
2x – y = 5
x + y = 4
The given system of equations can be written in the form of AX = B, where
∴ A is non-singular.
Therefore, A – 1 exists.
Hence, the given system of equations is consistent.
Q3 :Examine the consistency of the system of equations.
x + 3y = 5
2x + 6y = 8
Answer :
The given system of equations is:
x + 3y = 5
2x + 6y = 8
The given system of equations can be written in the form of AX = B, where
∴ A is a singular matrix.

Thus, the solution of the given system of equations does not exist. Hence, the system of equations is inconsistent.
Q4 :Examine the consistency of the system of equations.
x +y + z = 1
2x + 3y + 2z = 2
ax + ay + 2az = 4
Answer :
The given system of equations is:
x +y + z = 1
2x + 3y + 2z = 2
ax + ay + 2az = 4
This system of equations can be written in the form AX = B, where
∴ A is non-singular.
Therefore, A – 1 exists.
Hence, the given system of equations is consistent
Q5 :Examine the consistency of the system of equations.
3x – y – 2z = 2
2y – z = -1
3x – 5y = 3
Answer :
The given system of equations is:
3x – y – 2z = 2
2y – z = – 1
3x – 5y = 3
This system of equations can be written in the form of AX = B, where
∴ A is a singular matrix.

Thus, the solution of the given system of equations does not exist. Hence, the system of equations is inconsistent.
Q6 :Examine the consistency of the system of equations.
5x – y + 4z = 5
2x + 3y + 5z = 2
5x – 2y + 6z = -1
Answer :
The given system of equations is:
5x – y + 4z = 5
2x + 3y + 5z = 2
5x – 2y + 6z = – 1
This system of equations can be written in the form of AX = B, where
∴ A is non-singular.
Therefore, A – 1 exists.
Hence, the given system of equations is consistent.
Q7 :Solve system of linear equations, using matrix method.![]()
Answer :
The given system of equations can be written in the form of AX = B, where
Thus, A is non-singular. Therefore, its inverse exists.

Q8 :Solve system of linear equations, using matrix method.![]()
![]()
Answer :
The given system of equations can be written in the form of AX = B, where
Thus, A is non-singular. Therefore, its inverse exists.

Q9 :Solve system of linear equations, using matrix method.![]()
![]()
Answer :
The given system of equations can be written in the form of AX = B, where
Thus, A is non-singular. Therefore, its inverse exists.

Q10 :Solve system of linear equations, using matrix method.
5x + 2y = 3
3x + 2y = 5
Answer :
The given system of equations can be written in the form of AX = B, where
Thus, A is non-singular. Therefore, its inverse exists.
Q11 :Solve system of linear equations, using matrix method.![]()

Answer :
The given system of equations can be written in the form of AX = B, where
Thus, A is non-singular. Therefore, its inverse exists.

Q12 :Solve system of linear equations, using matrix method.
x – y + z = 4
2x + y – 3z = 0
x + y + z = 2
Answer :
The given system of equations can be written in the form of AX = B, where

Thus, A is non-singular. Therefore, its inverse exists.


Q13 :Solve system of linear equations, using matrix method.
2x + 3y + 3z = 5
x – 2y + z = -4
3x – y – 2z = 3
Answer :
The given system of equations can be written in the form AX = B, where

Thus, A is non-singular. Therefore, its inverse exists.


Q14 :Solve system of linear equations, using matrix method.
x – y + 2z = 7
3x + 4y – 5z = -5
2x – y + 3z = 12
Answer :
The given system of equations can be written in the form of AX = B, where
Thus, A is non-singular. Therefore, its inverse exists.


Q15 :If
, find A – 1. Using A – 1 solve the system of equations
Answer :


Now, the given system of equations can be written in the form of AX = B, where


Q16 :The cost of 4 kg onion, 3 kg wheat and 2 kg rice is Rs 60. The cost of 2 kg onion, 4 kg
wheat and 6 kg rice is Rs 90. The cost of 6 kg onion 2 kg wheat and 3 kg rice is Rs 70.
Find cost of each item per kg by matrix method.
Answer :
Let the cost of onions, wheat, and rice per kg be Rs x, Rs y,and Rs z respectively.
Then, the given situation can be represented by a system of equations as:
This system of equations can be written in the form of AX = B, where


Now,
X = A – 1 B

Hence, the cost of onions is Rs 5 per kg, the cost of wheat is Rs 8 per kg, and the cost of rice is Rs 8 per kg.
Exercise Miscellaneous : Solutions of Questions on Page Number : 141
Q1 : Prove that the determinant
is independent of θ.
Answer:

Q2 : Without expanding the determinant, prove that
Answer :

Hence, the given result is proved.
Q3 : Evaluate
Answer :
Expanding along C3, we have:

Q4 : If a, b and c are real numbers, and,
Show that either a + b + c = 0 or a = b = c.
Answer :

Expanding along R1, we have:


Hence, if Δ = 0, then either a + b + c = 0 or a = b = c
Q5 : Solve the equations
Answer :

Q6 : Prove that
Answer :

Expanding along R3, we have:

Hence, the given result is proved.
Q7 : If
Answer :
We know that.


Q8 : Let
verify that
(i)
(ii)![]()
Answer :


(i)
We have,
(ii)
Q9 : Evaluate
Answer :

Expanding along R1, we have:

Q10 :Evaluate
Answer :

Expanding along C1, we have:
![]()
Q11 : Using properties of determinants, prove that:
Answer :


Expanding along R3, we have:

Hence, the given result is proved.
Q12 : Using properties of determinants, prove that:

Answer :

Expanding along R3, we have:

Hence, the given result is proved.
Q13 : Using properties of determinants, prove that:
Answer :


Expanding along C1, we have:

Hence, the given result is proved.
Q14 : Using properties of determinants, prove that:
Answer :
Expanding along C1, we have:
![]()
Hence, the given result is proved.
Q15 : Using properties of determinants, prove that:
Answer :

Hence, the given result is proved.
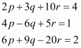
Q16 : Solve the system of the following equations
Answer :
Let![]()
Then the given system of equations is as follows:
This system can be written in the form of AX = B, where

Thus, A is non-singular. Therefore, its inverse exists.
Now,
A11 = 75, A12 = 110, A13 = 72
A21 = 150, A22 = – 100, A23 = 0
A31 = 75, A32 = 30, A33 = – 24

Q17 : Choose the correct answer.
If a, b, c, are in A.P., then the determinant
A. 0 B. 1 C. x D. 2x
Answer :
Answer: A

Here, all the elements of the first row (R1) are zero.
Hence, we have Δ = 0.
The correct answer is A.
Q18 : Choose the correct answer.
If x, y, z are nonzero is real numbers, then the inverse of matrix
is
A.
B.
C.
D.
Answer :


The correct answer is A.
Q19 : Choose the correct answer.
Let
, where 0 ≤ θ≤ 2π, then
A. Det (A) = 0
B. Det (A) ∈ (2, ∞)
C. Det (A) ∈ (2, 4)
D. Det (A)∈ [2, 4]
Answer :
Answer: D

The correct answer is D.