NCERT Solutions for Class 10 Maths Chapter 3 Pair of Liner Equations in two variables
NCERT Solutions for Class 10 Maths Chapter 3 Pair of Liner Equations in two variables
Exercise 3.1 : Solutions of Questions on Page Number : 44
Q1 : Aftab tells his daughter, “Seven years ago, I was seven times as old as you were then. Also, three years from now, I shall be three times as old as you will be.” (Isn’t this interesting?) Represent this situation algebraically and graphically.
Answer :
Let the present age of Aftab be x.
And, present age of his daughter = y
Seven years ago,
Age of Aftab = x – 7
Age of his daughter = y – 7
According to the question,

Three years hence,
Age of Aftab = x + 3
Age of his daughter = y + 3
According to the question,

Therefore, the algebraic representation is
![]()
For
,
![]()
The solution table is
| x | -7 | 0 | 7 |
| y | 5 | 6 | 7 |
For
,
![]()
The solution table is
| x | 6 | 3 | 0 |
| y | 0 | -1 | -2 |
The graphical representation is as follows.

Q2 : The coach of a cricket team buys 3 bats and 6 balls for Rs 3900. Later, she buys another bat and 3 more balls of the same kind for Rs 1300. Represent this situation algebraically and geometrically.
Answer :
Let the cost of a bat be Rs x.
And, cost of a ball = Rs y
According to the question, the algebraic representation is
[Math Processing Error]
For
,
![]()
The solution table is
| x | 300 | 100 | -100 |
| y | 500 | 600 | 700 |
For x+ 3y = 1300,
x = 1300 – 2y
The solution table is
| x | 400 | 700 | 1000 |
| y | 300 | 200 | 100 |
The graphical representation for first line is as follows.

And graph for second line will be,

Q3 : The cost of 2 kg of apples and 1 kg of grapes on a day was found to be Rs 160. After a month, the cost of 4 kg of apples and 2 kg of grapes is Rs 300. Represent the situation algebraically and geometrically.
Answer :
Let the cost of 1 kg of apples be Rs x.
And, cost of 1 kg of grapes = Rs y
According to the question, the algebraic representation is
![]()
For
,
![]()
The solution table is
| x | 50 | 60 | 70 |
| y | 60 | 40 | 20 |
For 4x + 2y = 300,
![]()
The solution table is
| x | 70 | 80 | 75 |
| y | 10 | -10 | 0 |
The graphical representation is as follows.

Exercise 3.2 : Solutions of Questions on Page Number : 49
Q1 : Form the pair of linear equations in the following problems, and find their solutions graphically.
(i) 10 students of Class X took part in a Mathematics quiz. If the number of girls is 4 more than the number of boys, find the number of boys and girls who took part in the quiz.
(ii) 5 pencils and 7 pens together cost Rs 50, whereas 7 pencils and 5 pens together cost Rs 46. Find the cost of one pencil and that of one pen.
Answer :
(i) Let the number of girls be x and the number of boys be y.
According to the question, the algebraic representation is
x + y = 10
x – y = 4
For x + y = 10,
x = 10 – y
| x | 5 | 4 | 6 |
| y | 5 | 6 | 4 |
For x – y = 4,
x = 4 + y
| x | 5 | 4 | 3 |
| y | 1 | 0 | -1 |
Hence, the graphic representation is as follows.

From the figure, it can be observed that these lines intersect each other at point (7, 3).
Therefore, the number of girls and boys in the class are 7 and 3 respectively.
(ii) Let the cost of 1 pencil be Rs x and the cost of 1 pen be Rs y.
According to the question, the algebraic representation is
5x + 7y = 50
7x + 5y = 46
For 5x + 7y = 50,
![]()
| x | 3 | 10 | -4 |
| y | 5 | 0 | 10 |
7x + 5y = 46
![]()
| x | 8 | 3 | -2 |
| y | -2 | 5 | 12 |
Hence, the graphic representation is as follows.

From the figure, it can be observed that these lines intersect each other at point (3, 5).
Therefore, the cost of a pencil and a pen are Rs 3 and Rs 5 respectively.
Q2 : On comparing the ratios
, find out whether the lines representing the following pairs of linear equations at a point, are parallel or coincident:



Answer :
(i) 5x – 4y + 8 = 0
7x + 6y – 9 = 0
Comparing these equations with![]()
and
, we obtain

Since
,
Hence, the lines representing the given pair of equations have a unique solution and the pair of lines intersects at exactly one point.
(ii) 9x + 3y + 12 = 0
18x + 6y + 24 = 0
Comparing these equations with![]()
and
, we obtain

Since
,
Hence, the lines representing the given pair of equations are coincident and there are infinite possible solutions for the given pair of equations.
(iii)6x – 3y + 10 = 0
2x – y + 9 = 0
Comparing these equations with![]()
and
, we obtain
![]()

Since
,
Hence, the lines representing the given pair of equations are parallel to each other and hence, these lines will never intersect each other at any point or there is no possible solution for the given pair of equations.
Q3 : On comparing the ratios
, find out whether the following pair of linear equations are consistent, or inconsistent.

Answer :
(i) 3x + 2y = 5
2x – 3y = 7

These linear equations are intersecting each other at one point and thus have only one possible solution. Hence, the pair of linear equations is consistent.
(ii)2x – 3y = 8
4x – 6y = 9
![]()
Since
,
Therefore, these linear equations are parallel to each other and thus have no possible solution. Hence, the pair of linear equations is inconsistent.
(iii)![]()

Since
,
Therefore, these linear equations are intersecting each other at one point and thus have only one possible solution. Hence, the pair of linear equations is consistent.
(iv)5x – 3 y = 11
– 10x + 6y = – 22
![]()
Since
,
Therefore, these linear equations are coincident pair of lines and thus have infinite number of possible solutions. Hence, the pair of linear equations is consistent.
(iv)![]()

Since![]()
Therefore, these linear equations are coincident pair of lines and thus have infinite number of possible solutions. Hence, the pair of linear equations is consistent.
Q4 : Which of the following pairs of linear equations are consistent/ inconsistent? If consistent, obtain the solution graphically:

Answer :
(i)x + y = 5
2x + 2y = 10
![]()
Since
,
Therefore, these linear equations are coincident pair of lines and thus have infinite number of possible solutions. Hence, the pair of linear equations is consistent.
x + y = 5
x = 5 – y
| x | 4 | 3 | 2 |
| y | 1 | 2 | 3 |
And, 2x + 2y = 10
![]()
| x | 4 | 3 | 2 |
| y | 1 | 2 | 3 |
Hence, the graphic representation is as follows.

From the figure, it can be observed that these lines are overlapping each other. Therefore, infinite solutions are possible for the given pair of equations.
(ii)x – y = 8
3x – 3y = 16
![]()
Since
,
Therefore, these linear equations are parallel to each other and thus have no possible solution. Hence, the pair of linear equations is inconsistent.
(iii) 2x + y – 6 = 0
4x – 2y – 4 = 0
![]()
Since
,
Therefore, these linear equations are intersecting each other at one point and thus have only one possible solution. Hence, the pair of linear equations is consistent.
2x + y – 6 = 0
y = 6 – 2x
| x | o | 1 | 2 |
| y | 6 | 4 | 2 |
And 4x – 2y – 4 = 0
![]()
| x | 1 |
Hence, the graphic representation is as follows.

From the figure, it can be observed that these lines are overlapping each other. Therefore, infinite solutions are possible for the given pair of equations

Q5 : Half the perimeter of a rectangular garden, whose length is 4 m more than its width, is 36 m. Find the dimensions of the garden.
Answer :
Let the width of the garden be x and length be y.
According to the question,
y – x = 4 (1)
y + x = 36 (2)
y – x = 4
y = x + 4
| x | 0 | 8 | 12 |
| y | 4 | 12 | 16 |
y + x = 36
| x | 0 | 36 | 16 |
| y | 3 | 0 | 20 |
Hence, the graphic representation is as follows.

From the figure, it can be observed that these lines are intersecting each other at only point i.e., (16, 20). Therefore, the length and width of the given garden is 20 m and 16 m respectively.
Q6 : Given the linear equation 2x + 3y – 8 = 0, write another linear equations in two variables such that the geometrical representation of the pair so formed is:
(i) intersecting lines (ii) parallel lines
(iii) coincident lines
Answer :
(i)Intersecting lines:
For this condition,
![]()
The second line such that it is intersecting the given line is
.
(ii) Parallel lines:
For this condition,
![]()
Hence, the second line can be
4x + 6y – 8 = 0

(iii)Coincident lines:
For coincident lines,
![]()
Hence, the second line can be
6x + 9y – 24 = 0

Q7 : Draw the graphs of the equations x – y + 1 = 0 and 3x + 2y – 12 = 0. Determine the coordinates of the vertices of the triangle formed by these lines and the x-axis, and shade the triangular region.
Answer :
x – y + 1 = 0
x = y – 1
| x | 0 | 1 | 2 |
| y | 1 | 2 | 3 |
3x + 2y – 12 = 0
![]()
| x | 4 | 2 | 0 |
| y | 0 | 3 | 6 |
Hence, the graphic representation is as follows.

From the figure, it can be observed that these lines are intersecting each other at point (2, 3) and x-axis at ( – 1, 0) and (4, 0). Therefore, the vertices of the triangle are (2, 3), ( – 1, 0), and (4, 0).
Exercise 3.3 : Solutions of Questions on Page Number : 53
Q1 : Solve the following pair of linear equations by the substitution method.

Answer :
(i) x + y = 14 (1)
x – y = 4 (2)
From (1), we obtain
x = 14 – y (3)
Substituting this value in equation (2), we obtain

Substituting this in equation (3), we obtain
![]()
(ii)![]()
![]()
From (1), we obtain
![]()
Substituting this value in equation (2), we obtain

Substituting in equation (3), we obtain
s = 9
s = 9, t = 6
(iii)3x – y = 3 (1)
9x – 3y = 9 (2)
From (1), we obtain
y = 3x – 3 (3)
Substituting this value in equation (2), we obtain
![]()
9 = 9
This is always true.
Hence, the given pair of equations has infinite possible solutions and the relation between these variables can be given by
y = 3x – 3
Therefore, one of its possible solutions is x = 1, y = 0.
(iv)![]()
![]()
From equation (1), we obtain
![]()
Substituting this value in equation (2), we obtain

Substituting this value in equation (3), we obtain

(v)![]()
![]()
From equation (1), we obtain
![]()
Substituting this value in equation (2), we obtain


Substituting this value in equation (3), we obtain
x=0

Q2 : Solve 2x + 3y = 11 and 2x – 4y = – 24 and hence find the value of ‘m’ for which y = mx + 3.
Answer :

From equation (1), we obtain
![]()
Substituting this value in equation (2), we obtain

Putting this value in equation (3), we obtain
![]()
Hence, x = – 2, y = 5
Also,

Q3 : From the paid of linear equations for the following problems and find their solution by substitution method.
(i) The diffrance between two numbers is 26 and one number is three times the other. Find them.
(ii) The larger of two supplementry angles exceeds the smaller by 18 degrees. Find them.
Answer :
(i) Let the first number be x and the other number be y such that y > x.
According to the given information,

On substituting the value of y from equation (1) into equation (2), we obtain
![]()
Substituting this in equation (1), we obtain
y = 39
Hence, the numbers are 13 and 39.
(ii) Let the larger angle be x and smaller angle be y.
We know that the sum of the measures of angles of a supplementary pair is always 180 º.
According to the given information,

From (1), we obtain
x = 180 º – y (3)
Substituting this in equation (2), we obtain

Putting this in equation (3), we obtain
x = 180 º – 81 º
= 99 º
Hence, the angles are 99 º and 81 º.
(iii) Let the cost of a bat and a ball be x and y respectively.
According to the given information,

From (1), we obtain
![]()
Substituting this value in equation (2), we obtain


Substituting this in equation (3), we obtain

Hence, the cost of a bat is Rs 500 and that of a ball is Rs 50.
(iv) Let the fixed charge be Rs x and per km charge be Rs y.
According to the given information,

From (1), we obtain
![]()
Substituting this in equation (2), we obtain

Putting this in equation (3), we obtain
![]()
Hence, fixed charge = Rs 5
And per km charge = Rs 10
Charge for 25 km = x + 25y
= 5 + 250 = Rs 255
(v) Let the fraction be
.
According to the given information,

From equation (1), we obtain
Exercise 3.4 : Solutions of Questions on Page Number : 56
Q1 : Solve the following pair of linear equations by the elimination method and the substitution method:
![]()
![]()
![]()
![]()
Answer :
(i) By elimination method
![]()
![]()
Multiplying equation (1) by 2, we obtain
![]()
Subtracting equation (2) from equation (3), we obtain

Substituting the value in equation (1), we obtain

By substitution method
From equation (1), we obtain
(5)
Putting this value in equation (2), we obtain
![]()
– 5y = – 6
![]()
Substituting the value in equation (5), we obtain

(ii) By elimination method
![]()
![]()
Multiplying equation (2) by 2, we obtain
![]()
Adding equation (1) and (3), we obtain
![]()
Substituting in equation (1), we obtain

Hence, x = 2, y = 1
By substitution method
From equation (2), we obtain
(5)
Putting this value in equation (1), we obtain
![]()
7y = 7
![]()
Substituting the value in equation (5), we obtain
![]()




Q2 : Form the pair of linear equations in the following problems, and find their solutions (if they exist) by the elimination method:
(i) If we add 1 to the numerator and subtract 1 from the denominator, a fraction reduces to 1. It becomes if we only add 1 to the denominator. What is the fraction?
(ii) Five years ago, Nuri was thrice as old as Sonu. Ten years later, Nuri will be twice as old as Sonu. How old are Nuri and Sonu?
(iii) The sum of the digits of a two-digit number is 9. Also, nine times this number is twice the number obtained by reversing the order of the digits. Find the number.
(iv) Meena went to bank to withdraw Rs 2000. She asked the cashier to give her Rs 50 and Rs 100 notes only. Meena got 25 notes in all. Find how many notes of Rs 50 and Rs 100 she received.
(v) A lending library has a fixed charge for the first three days and an additional charge for each day thereafter. Saritha paid Rs 27 for a book kept for seven days, while Susy paid Rs 21 for the book she kept for five days. Find the fixed charge and the charge for each extra day.
Answer:



Exercise 3.5 : Solutions of Questions on Page Number : 62
Q1 : Which of the following pairs of linear equations has unique solution, no solution or infinitely many solutions? In case there is a unique solution, find it by using cross multiplication method.

Answer :

Therefore, the given sets of lines are parallel to each other. Therefore, they will not intersect each other and thus, there will not be any solution for these equations.

Therefore, they will intersect each other at a unique point and thus, there will be a unique solution for these equations.
By cross-multiplication method,

∴ x = 2, y = 1

Therefore, the given sets of lines will be overlapping each other i.e., the lines will be coincident to each other and thus, there are infinite solutions possible for these equations.

Therefore, they will intersect each other at a unique point and thus, there will be a unique solution for these equations.
By cross-multiplication,

∴![]()
Q2 : (i) For which values of a and b will the following pair of linear equations have an infinite number of solutions?
![]()
(ii) For which value of k will the following pair of linear equations have no solution?
![]()
Answer :

For infinitely many solutions,

Subtracting (1) from (2), we obtain
![]()
Substituting this in equation (2), we obtain
![]()
Hence, a = 5 and b = 1 are the values for which the given equations give infinitely many solutions.

For no solution,

![]()
Hence, for k = 2, the given equation has no solution.
Q3 : Solve the following pair of linear equations by the substitution and cross-multiplication methods:
![]()
Answer :

From equation (ii), we obtain
![]()
Substituting this value in equation (i), we obtain

Substituting this value in equation (ii), we obtain
![]()
Hence,![]()
Again, by cross-multiplication method, we obtain

Q4 : Form the pair of linear equations in the following problems and find their solutions (if they exist) by any algebraic method:
(i)A part of monthly hostel charges is fixed and the remaining depends on the number of days one has taken food in the mess. When a student A takes food for 20 days she has to pay Rs 1000 as hostel charges whereas a student B, who takes food for 26 days, pays Rs 1180 as hostel charges. Find the fixed charges and the cost of food per day.
(ii)A fraction becomes
when 1 is subtracted from the numerator and it becomes
when 8 is added to its denominator. Find the fraction.
(iii)Yash scored 40 marks in a test, getting 3 marks for each right answer and losing 1 mark for each wrong answer. Had 4 marks been awarded for each correct answer and 2 marks been deducted for each incorrect answer, then Yash would have scored 50 marks. How many questions were there in the test?
(iv) Places A and B are 100 km apart on a highway. One car starts from A and another from B at the same time. If the cars travel in the same direction at different speeds, they meet in 5 hours. If they travel towards each other, they meet in 1 hour. What are the speeds of the two cars?
(v)The area of a rectangle gets reduced by 9 square units, if its length is reduced by 5 units and breadth is increased by 3 units. If we increase the length by 3 units and the breadth by 2 units, the area increases by 67 square units. Find the dimensions of the rectangle.
Answer :
(i)Let x be the fixed charge of the food and y be the charge for food per day.
According to the given information,

Subtracting equation (1) from equation (2), we obtain
![]()
Substituting this value in equation (1), we obtain

Hence, fixed charge = Rs 400
And charge per day = Rs 30
(ii)Let the fraction be
.
According to the given information,

Subtracting equation (1) from equation (2), we obtain
![]()
Putting this value in equation (1), we obtain
![]()
Hence, the fraction is
.
(iii)Let the number of right answers and wrong answers be x and y respectively.
According to the given information,

Subtracting equation (2) from equation (1), we obtain
x = 15 (3)
Substituting this in equation (2), we obtain
![]()
Therefore, number of right answers = 15
And number of wrong answers = 5
Total number of questions = 20
(iv)Let the speed of 1st car and 2nd car be u km/h and v km/h.
Respective speed of both cars while they are travelling in same direction = (
) km/h
Respective speed of both cars while they are travelling in opposite directions i.e., travelling towards each other = (
) km/h
According to the given information,

Adding both the equations, we obtain
![]()
Substituting this value in equation (2), we obtain
v = 40 km/h
Hence, speed of one car = 60 km/h and speed of other car = 40 km/h
(v) Let length and breadth of rectangle be x unit and y unit respectively.
Area = xy
According to the question,

By cross-multiplication method, we obtain

Hence, the length and breadth of the rectangle are 17 units and 9 units respectively.
Exercise 3.6 : Solutions of Questions on Page Number : 67
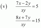
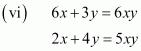
Q1 : Solve the following pairs of equations by reducing them to a pair of linear equations:








Answer :
Let
and
, then the equations change as follows.

Using cross-multiplication method, we obtain



Putting
and
in the given equations, we obtain

Multiplying equation (1) by 3, we obtain
6p + 9q = 6 (3)
Adding equation (2) and (3), we obtain

Putting in equation (1), we obtain


Hence,![]()

Substituting
in the given equations, we obtain

By cross-multiplication, we obtain


Putting
and
in the given equation, we obtain



x=3 (5)
Substituting in equation (3, We obtain
y=2
Hence,x=3,y=2


Q2 : Formulate the following problems as a pair of equations, and hence find their solutions:
(i) Ritu can row downstream 20 km in 2 hours, and upstream 4 km in 2 hours. Find her speed of rowing in still water and the speed of the current.
(ii) 2 women and 5 men can together finish an embroidery work in 4 days, while 3 women and 6 men can finish it in 3 days. Find the time taken by 1 woman alone to finish the work, and also that taken by 1 man alone.
(iii) Roohi travels 300 km to her home partly by train and partly by bus. She takes 4 hours if she travels 60 km by train and remaining by bus. If she travels 100 km by train and the remaining by bus, she takes 10 minutes longer. Find the speed of the train and the bus separately.
Answer :
(i)Let the speed of Ritu in still water and the speed of stream be x km/h
and y km/h respectively.
Speed of Ritu while rowing
Upstream =
km/h
Downstream =
km/h
According to question,

Adding equation (1) and (2), we obtain
![]()
Putting this in equation (1), we obtain
y = 4
Hence, Ritu’s speed in still water is 6 km/h and the speed of the current is 4 km/h.
(ii)Let the number of days taken by a woman and a man be x and y respectively.
Therefore, work done by a woman in 1 day =![]()
Work done by a man in 1 day =![]()
According to the question,

Putting
in these equations, we obtain

By cross-multiplication, we obtain


Hence, number of days taken by a woman = 18
Number of days taken by a man = 36
(iii) Let the speed of train and bus be u km/h and v km/h respectively.
According to the given information,

Putting
and
in these equations, we obtain

Multiplying equation (3) by 10, we obtain
![]()
Subtracting equation (4) from (5), we obtain

Substituting in equation (3), we obtain

Hence, speed of train = 60 km/h
Speed of bus = 80 km/h
Exercise 3.7 : Solutions of Questions on Page Number : 68
Q1 : The ages of two friends Ani and Biju differ by 3 years. Ani’s father Dharam is twice as old as Ani and Biju is twice as old as his sister Cathy. The ages of Cathy and Dharam differs by 30 years. Find the ages of Ani and Biju.
Answer :
The difference between the ages of Biju and Ani is 3 years. Either Biju is 3 years older than Ani or Ani is 3 years older than Biju. However, it is obvious that in both cases, Ani’s father’s age will be 30 years more than that of Cathy’s age.
Let the age of Ani and Biju be x and y years respectively.
Therefore, age of Ani’s father, Dharam = 2 × x = 2x years
And age of Biju’s sister Cathy
years
By using the information given in the question,
Case (I) When Ani is older than Biju by 3 years,
x – y = 3 (i)
![]()
4x – y = 60 (ii)
Subtracting (i) from (ii), we obtain
3x = 60 – 3 = 57
![]()
Therefore, age of Ani = 19 years
And age of Biju = 19 – 3 = 16 years
Case (II) When Biju is older than Ani,
y – x = 3 (i)
![]()
4x – y = 60 (ii)
Adding (i) and (ii), we obtain
3x = 63
x = 21
Therefore, age of Ani = 21 years
And age of Biju = 21 + 3 = 24 years
Q2 : One says, “Give me a hundred, friend! I shall then become twice as rich as you”. The other replies, “If you give me ten, I shall be six times as rich as you”. Tell me what is the amount of their (respective) capital? [From the Bijaganita of Bhaskara II)
[Hint: x + 100 = 2 (y – 100), y + 10 = 6(x – 10)]
Answer :
Let those friends were having Rs x and y with them.
Using the information given in the question, we obtain
x + 100 = 2(y – 100)
x + 100 = 2y – 200
x – 2y = -300 (i)
And, 6(x – 10) = (y + 10)
6x – 60 = y + 10
6x – y = 70 (ii)
Multiplying equation (ii) by 2, we obtain
12x – 2y = 140 (iii)
Subtracting equation (i) from equation (iii), we obtain
11x = 140 + 300
11x = 440
x = 40
Using this in equation (i), we obtain
40 – 2y = -300
40 + 300 = 2y
2y = 340
y = 170
Therefore, those friends had Rs 40 and Rs 170 with them respectively.
Q3 : A train covered a certain distance at a uniform speed. If the train would have been 10 km/h faster, it would have taken 2 hours less than the scheduled time. And if the train were slower by 10 km/h; it would have taken 3 hours more than the scheduled time. Find the distance covered by the train.
Answer :
Let the speed of the train be x km/h and the time taken by train to travel the given distance be t hours and the distance to travel was d km. We know that,
![]()
![]()
Or, d = xt (i)
Using the information given in the question, we obtain

By using equation (i), we obtain
– 2x + 10t = 20 (ii)

By using equation (i), we obtain
3x – 10t = 30 (iii)
Adding equations (ii) and (iii), we obtain
x = 50
Using equation (ii), we obtain
( – 2) × (50) + 10t = 20
– 100 + 10t = 20
10t = 120
t = 12 hours
From equation (i), we obtain
Distance to travel = d = xt
= 50 × 12
= 600 km
Hence, the distance covered by the train is 600 km.
Q4 : The students of a class are made to stand in rows. If 3 students are extra in a row, there would be 1 row less. If 3 students are less in a row, there would be 2 rows more. Find the number of students in the class.
Answer :
Let the number of rows be x and number of students in a row be y.
Total students of the class
= Number of rows x Number of students in a row
= xy
Using the information given in the question,
Condition 1
Total number of students = (x – 1) (y + 3)
xy = (x – 1) (y + 3) = xy – y + 3x – 3
3x – y – 3 = 0
3x – y = 3 (i)
Condition 2
Total number of students = (x + 2) (y – 3)
xy = xy + 2y – 3x – 6
3x – 2y = -6 (ii)
Subtracting equation (ii) from (i),
(3x – y) – (3x – 2y) = 3 – (-6)
– y + 2y = 3 + 6
y = 9
By using equation (i), we obtain
3x – 9 = 3
3x = 9 + 3 = 12
x = 4
Number of rows = x = 4
Number of students in a row = y = 9
Number of total students in a class = xy = 4 x 9 = 36
Q5 : In a ΔABC, ∠ C = 3 ∠ B = 2 (∠ A + ∠ B). Find the three angles.
Answer :
Given that,
∠ C = 3∠ B = 2(∠ A + ∠ B)
3∠ B = 2(∠ A + ∠ B)
3∠ B = 2∠ A + 2∠ B
∠ B = 2∠ A
2 ∠ A – ∠ B = 0 … (i)
We know that the sum of the measures of all angles of a triangle is 180°. Therefore,
∠ A + ∠ B + ∠ C = 180°
∠ A + ∠ B + 3 ∠ B = 180°
∠ A + 4 ∠ B = 180° … (ii)
Multiplying equation (i) by 4, we obtain
8 ∠ A – 4 ∠ B = 0 … (iii)
Adding equations (ii) and (iii), we obtain
9 ∠ A = 180°
∠ A = 20°
From equation (ii), we obtain
20° + 4 ∠ B = 180°
4 ∠ B = 160°
∠ B = 40°
∠ C = 3 ∠ B
= 3 x 40° = 120°
Therefore, ∠ A, ∠ B, ∠ C are 20°, 40°, and 120° respectively.
Q6 : Draw the graphs of the equations 5x – y = 5 and 3x – y = 3. Determine the co-ordinates of the vertices of the triangle formed by these lines and the y axis.
Answer :
5x – y = 5
Or, y = 5x – 5
The solution table will be as follows.
| x | 0 | 1 | 2 |
| y | – 5 | 0 | 5 |
3x – y = 3
Or, y = 3x – 3
The solution table will be as follows.
| x | 0 | 1 | 2 |
| y | – 3 | 0 | 3 |
The graphical representation of these lines will be as follows.

It can be observed that the required triangle is ΔABC formed by these lines and y-axis.
The coordinates of vertices are A (1, 0), B (0, – 3), C (0, – 5).
Q7 : Solve the following pair of linear equations.
(i) px + qy = p – q
qx – py = p + q
(ii) ax + by = c
bx + ay = 1 + c
(iii)![]()
ax + by = a2 + b2
(iv) (a – b) x + (a + b) y = a2 – 2ab – b2
(a + b) (x + y) = a2 + b2
(v) 152x – 378y = – 74
– 378x + 152y = – 604
Answer :
(i)px + qy = p – q … (1)
qx – py = p + q … (2)
Multiplying equation (1) by p and equation (2) by q, we obtain
p2x + pqy = p2 – pq … (3)
q2x – pqy = pq + q2 … (4)
Adding equations (3) and (4), we obtain
p2x + q2 x = p2 + q2
(p2 + q2) x = p2 + q2
![]()
From equation (1), we obtain
p (1) + qy = p – q
qy = – q
y = – 1
(ii)ax + by = c … (1)
bx + ay = 1 + c … (2)
Multiplying equation (1) by a and equation (2) by b, we obtain
a2x + aby = ac … (3)
b2x + aby = b + bc … (4)
Subtracting equation (4) from equation (3),
(a2 – b2) x = ac – bc – b
![]()
From equation (1), we obtain
ax + by = c

(iii)![]()
Or, bx – ay = 0 … (1)
ax + by = a2 + b2 … (2)
Multiplying equation (1) and (2) by b and a respectively, we obtain
b2x – aby = 0 … (3)
a2x + aby = a3 + ab2 … (4)
Adding equations (3) and (4), we obtain
b2x + a2x = a3 + ab2
x (b2 + a2) = a (a2 + b2)
x = a
By using (1), we obtain
b (a) – ay = 0
ab – ay = 0
ay = ab
y = b
(iv) (a – b) x + (a + b) y = a2 – 2ab – b2 … (1)
(a + b) (x + y) = a2 + b2
(a + b) x + (a + b) y = a2 + b2 … (2)
Subtracting equation (2) from (1), we obtain
(a – b) x – (a + b) x = (a2 – 2ab – b2) – (a2 + b2)
(a – b – a – b) x = – 2ab – 2b2
– 2bx = – 2b (a + b)
x = a + b
Using equation (1), we obtain
(a – b) (a + b) + (a + b) y = a2 – 2ab – b2
a2 – b2 + (a + b) y = a2 – 2ab – b2
(a + b) y = – 2ab
![]()

Q8 : ABCD is a cyclic quadrilateral finds the angles of the cyclic quadrilateral.

Answer :
We know that the sum of the measures of opposite angles in a cyclic quadrilateral is 180°.
Therefore, ∠ A + ∠ C = 180
4y + 20 – 4x = 180
– 4x + 4y = 160
x – y = – 40 (i)
Also, ∠ B + ∠ D = 180
3y – 5 – 7x + 5 = 180
– 7x + 3y = 180 (ii)
Multiplying equation (i) by 3, we obtain
3x – 3y = – 120 (iii)
Adding equations (ii) and (iii), we obtain
– 7x + 3x = 180 – 120
– 4x = 60
x = -15
By using equation (i), we obtain
x – y = – 40
-15 – y = – 40
y = -15 + 40 = 25
∠ A = 4y + 20 = 4(25) + 20 = 120°
∠ B = 3y – 5 = 3(25) – 5 = 70°
∠ C = – 4x = – 4(- 15) = 60°
∠ D = – 7x + 5 = – 7(-15) + 5 = 110°
NCERT Solutions for Class 10 Maths All Chapters
- Chapter 1 – Real Numbers
- Chapter 2 – Polynomials
- Chapter 3 – Pair of Linear Equations in Two Variables
- Chapter 4 – Quadratic Equations
- Chapter 5 – Arithmetic Progressions
- Chapter 6 – Triangles
- Chapter 7 – Coordinate Geometry
- Chapter 8 – Introduction to Trigonometry
- Chapter 9 – Some Applications of Trigonometry
- Chapter 10 – Circles
- Chapter 11 – Constructions
- Chapter 12 – Areas Related to Circles
- Chapter 13 – Surface Areas and Volumes
- Chapter 14 – Statistics
- Chapter 15 – Probability